Designbilder von Igniel

Missbrauch melden

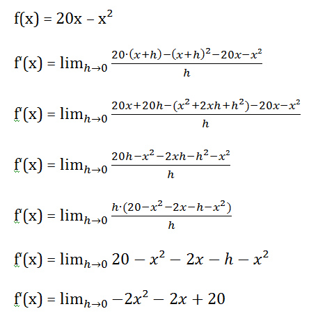
h mathe Mathe ableitung antwort

Kommentar veröffentlichen

An Die Matheprofis: H-Methode!? (Mathe, Ableitung)

An die Matheprofis: h-Methode!? (Mathe, Ableitung) www.gutefrage.net

mathe ableitung antwort

H-Methode Was Falsch? (Schule, Mathe, Mathematik)

H-Methode was falsch? (Schule, Mathe, Mathematik) www.gutefrage.net

Pin Auf Mathematik Sekundarstufe Unterrichtsmaterialien

Pin auf Mathematik Sekundarstufe Unterrichtsmaterialien www.pinterest.de

Mathe Ableitung H Methode Richtig? (Mathematik)

Mathe Ableitung H methode richtig? (Mathematik) www.gutefrage.net

Oberflächeninhalt Des Buchstaben H? (Mathe, Oberfläche)

Oberflächeninhalt des Buchstaben H? (Mathe, Oberfläche) www.gutefrage.net

Wie Berechne Ich H? (Mathe, Mathematik)

Wie berechne ich h? (Mathe, Mathematik) www.gutefrage.net

Erklärung Der H-Methode Für Eine Komplette Funktion - YouTube

Erklärung der h-Methode für eine komplette Funktion - YouTube www.youtube.com

methode funktion

Berechnung Der Ableitung Durch H-Methode | Mathelounge

Berechnung der Ableitung durch H-Methode | Mathelounge www.mathelounge.de

ableitung berechnung mathelounge verstehen denke wirst

Schmidt, H: Mathe-Basics-Trainer 3. Schuljahr

Schmidt, H: Mathe-Basics-Trainer 3. Schuljahr www.schulsachen.de

H Methode Richtig? (Schule, Mathe, Mathematik)

H Methode richtig? (Schule, Mathe, Mathematik) www.gutefrage.net

H methode richtig? (schule, mathe, mathematik). An die matheprofis: h-methode!? (mathe, ableitung). Mathe ableitung h methode richtig? (mathematik)


Related Posts

Kommentar veröffentlichen